A new SU(2) × U(1) broken symmetry leads us to gravity and nuclear force unification, new Higgs bosons, intermediate vector bosons and photons appear. Schrodinger's equation for a gravitational system leads us to Planck's gravitational constant and Kepler's third law. The solution of Schrodinger's equation for an electron orbiting a nucleus leads us to the emission of gravitomagnetic photons when the gravitational potential is also taken into account. In four dimensions, the Minkowski metric
= diag (+1,-1,-1,-1) leads to the 16-dimensional Clifford algebra C(1,3), Dirac's equation [1] is using four of these 16 matrices that form a basis of this algebra, a new operator is defined using all of these matrices and also generalized for a curved space. This new multilevel operator generalizes the Dirac's equation, the value of the generalized Dirac's operator is calculated in the Schwarzschild's metric. The torsion tensor is calculated taking into account the non-symmetric part of the metric tensor in the vanishing of its covariant derivative and applied to Kerr's metric generalizing the Clifford algebra. Geodesic equation, conservation laws, torsion tensor and Einstein field equation are obtained in a non-symmetric geometry.
Broken Symmetry; Intermediate Vector Bosons; Gravity and Nuclear Force Unification; Gravitomagnetic Higgs Boson; Colormagnetic Higgs Boson; Gravitomagnetic Photon; Colormagnetic Photon; Scalar Mesons f0(500) and f0(980); Planck's Gravitational Constant; Planck's Constant; Kepler's Third Law; Schrodinger's Equation; Gravitomagnetic Photon Emission; Gravitomagnetic Tensor; Gravitational Magnetic Field; Energy Momentum 1-Form; Clifford Algebra; Dirac Equation; Dirac Operator; Gravity and Quantum Mechanics Unification; Multilevel Operator; Schwarzschild's Metric; Torsion Tensor; Rearranged Kerr's Metric; Generalized Dirac Equation; Generalized Clifford Algebra; Generalized Einstein Field Equation; Generalized Geodesic Equation; Conservation Laws; Non-Symmetric Geometry
In the 1960s, Sheldon Glashow, Abdus Salam and Steven Weinberg unified the electromagnetic force and the weak interaction by showing them to be two aspects of a single force, now termed the electroweak force. The Higgs mechanism is essential to explain the generation mechanism of the property "mass" for gauge bosons.
Dirac's equation is the relativistic wave equation derived by physicist Paul Dirac in 1928. The wave functions in the Dirac theory are vectors of four complex components (known as bispinors), two of which resemble the Pauli wavefunction in the non-relativistic limit, in contrast to the Schrödinger equation which described wave functions of only one complex component.
Dirac's operator is just the tip of the iceberg, the tip of a generalized operator that is obtained by operating on all members of the Clifford algebra basis and not just on four of them.
The Schwarzschild's metric is named in honour of Karl Schwarzschild, who found the exact solution in 1915 and published it in January 1916, a little more than a month after the publication of Einstein's theory of general relativity. It was the first exact solution of the Einstein field equations other than the trivial flat space solution. Schwarzschild died shortly after his paper was published, as a result of a disease he developed while serving in the German army during World War I. Johannes Droste in 1916 independently produced the same solution as Schwarzschild.
Schwarzschild's metric is an exact solution to the Einstein's field equations that describes the gravitational field outside a spherical mass, on the assumption that the electric charge of the mass, angular momentum of the mass, and universal cosmological constant are all zero.
The new generalized Dirac's operator, the multilevel operator, is calculated in the Schwarzschild's metric, torsion tensor and new gravitomagnetic tensor appear in level 2, curvature tensor appears in levels 3 and 4.
The Kerr's metric is a generalization to a rotating body of the Schwarzschild's metric. The Einstein field equation relates the geometry of spacetime to the distribution of matter within it. The equations were published by Einstein in 1915 in the form of a tensor equation which related the local spacetime curvature with the local energy, momentum and stress within that spacetime expressed by the stress-energy tensor.
In Glashow, Weinberg and Salam model SU (2)× U (1) is the broken symmetry [2,3], for electromagnetic and weak force unification with weak charges, orange and purple, (o) and (p), and anti charges, anti orange and anti purple,
and
. The massless electromagnetic photon
and the weak bosons W-W+ and Zo carry the force between the first-generation quarks d and u, and the first generation leptons e– and νe; these bosons are related to Higgs boson Ho via Higgs mechanism and Planck's constant h has been determined for hydrogen atom system, weak bosons carry the electromagnetic short distance force.

In rainbow unification
is the broken symmetry for gravitomagnetic and nuclear force unification with charges, yellow and pink, (y) and (k), and anti charges, anti yellow and anti pink,
and
. The massless gravitomagnetic photon
and the vector bosons
and
carry the force between the first generation quarks d and u, and the first generation quarks d and u; these bosons are related to Higgs boson
via Higgs mechanism and Planck's gravitomagnetic constant
has been determined for Solar systems and for hydrogen atom system, rho bosons carry the gravitomagnetic short distance force.

, from equations (106) and (108)(12)
, from equations (94) and (96)(13)
, from equations (101) and (103) (14)
In rainbow unification
is the broken symmetry for colormagnetic and hadron force unification with charges, red, green and blue, (r), (g) and (b), and anti charges, anti red anti green and anti blue,
and
. The massless colormagnetic photons
and the colormagnetic bosons
and
carry the force between the first generation quarks d and u , and the first generation quarks d and u ; these bosons are related to Higgs bosons
via Higgs mechanism and Planck's colormagnetic constant
has to be determined for Deuterium system and for baryon and meson systems, C bosons carry the colormagnetic short distance force.


In rainbow unification
is the broken symmetry for electromagnetic and weak force unification with weak charges, orange and purple, (o) and (p), and anti charges, anti orange and anti purple,
and
. The massless electromagnetic photon
and the weak bosons
and
carry the force between the second generation quarks s and c, and the second generation leptons
and
; these bosons are related to Higgs boson
via Higgs mechanism and Planck's constant
has to be determined for baryon and meson systems, weak bosons carry the electromagnetic short distance force.


In rainbow unification
is the broken symmetry for gravitomagnetic and nuclear force unification with charges, yellow and pink, (y) and (k), and anti charges, anti yellow and anti pink,
and
. The massless gravitomagnetic photon
and the vector bosons
and
carry the force between the second generation quarks s and c, and the second generation quarks s and c; these bosons are related to Higgs boson
via Higgs mechanism and Planck's gravitomagnetic constant
has to be determined for baryon and meson systems,
bosons carry the gravitomagnetic short distance force.


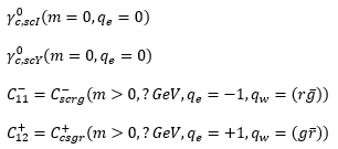
In rainbow unification
is the broken symmetry for colormagnetic and hadron force unification with charges, red, green and blue, (r), (g) and (b), and anti charges, anti red anti green and anti blue,
and
. The massless colormagnetic photons
and the colormagnetic bosons
and
carry the force between the second generation quarks s and c , and the second generation quarks s and c ; these bosons are related to Higgs bosons
via Higgs mechanism and Planck's colormagnetic constant
has to be determined for baryon and meson systems,
bosons carry the colormagnetic short distance force.




In rainbow unification
is the broken symmetry for electromagnetic and weak force unification with weak charges, orange and purple, (o) and (p), and anti charges, anti orange and anti purple,
and
. The massless electromagnetic photon
and the weak bosons
and
carry the force between the third generation quarks b and t , and the third generation leptons
and
; these bosons are related to Higgs boson
via Higgs mechanism and Planck's constant
has to be determined for baryon and meson systems, weak bosons carry the electromagnetic short distance force.


In rainbow unification
is the broken symmetry for gravitomagnetic and nuclear force
unification with charges, yellow and pink, (y) and (k), and anti charges, anti yellow and anti pink,
and
. The massless gravitomagnetic photon
and the vector bosons
and
carry the force between the third generation quarks b and t , and the third generation quarks b and t ; these bosons are related to Higgs boson
via Higgs mechanism and Planck's gravitomagnetic constant
has to be determined for baryon and meson systems,
bosons carry the gravitomagnetic short distance force.


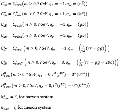
In rainbow unification
is the broken symmetry for colormagnetic and hadron force unification with charges, red, green and blue, (r), (g) and (b), and anti charges, anti red anti green and anti blue,
and
. The massless colormagnetic photons
and the colormagnetic bosons
and
carry the force between the third generation quarks b and t , and the third generation quarks b and t ; these bosons are related to Higgs bosons
via Higgs mechanism and Planck's colormagnetic constant
has to be determined for baryon and meson systems,
bosons carry the colormagnetic short distance force.


Scalar Mesons f0(500) and f0(980) as Colormagnetic and Gravitomagnetic Higgs Bosons


We can identify
with f0 (980), then we recalculate cos (θH) with the mass of f0 (980) and identifying f0 (500) with
in equation(25) we are able to obtain the mass of
in equation (23)
cos (θH) = ρ0 mass / f0 (980) mass = 775.26/990 = 0.78309090909 (93)
cos (θH) f0 (500) mass =
mass = (500 MeV)0.78309090909 = 391.5454545 MeV (94)
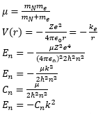
In the hydrogen atom an electron is orbiting a nucleus with 1 proton, we know the energy levels from the solution of the Schrödinger's equation [4], where mp is the proton mass, me is the electron mass, μ is the 2 -body reduced mass, e is the electron charge, r is the position of the electron relative to the nucleus, the potential term is due to the Coulomb interaction wherein ϵo is the permittivity of free space.


We apply equation (100) to the Sun-Earth system, equating equation (100) to the total energy of the gravitational system we get the value of Planck's gravitational constant in this system,
is the Sun mass,
is the Earth mass,
is the semi-major axis, eccentricity
and L the angular momentum. The total energy of the gravitational system is defined by


= 7.429057157452823641047994068434371633734281721064587940439666045⋅ 1036(110)
= 4.66781427779049252488785364223568563336168774518864147659109445351615⋅ 1037(111)
We apply equation (100) to the Sun-Jupiter system,
is the Sun mass,
is the Jupiter mass,
is the semi-major axis, eccentricity 


= 4.51432854542679369402042539318547953563841218096050790100265485011794 ⋅ 1040(117)
= 2.836436278840702454154584284682383113666570450687201499960574667851725 ⋅ 1041(118)
Now we consider the hydrogen atom with n = 1, from equations (97) and (98)
(119)
= 0.5294654098261038473779109239248424187086013514771619339353797488⋅10-10 (120)
Comparing equations (104) and (100) we see the role played by the semi-major axis a now is played by αo and from equation (101)
(121)
= 2.21339220907051688840536594129522138437628260139671804019981879125 ⋅ 10-54(122)
= 1.390715340705763914900480582604931793072338111755113257836699466638⋅ 10-53(123)
Now if we adapt equation (121) to Ke we should obtain the Planck's constant value


If the Hamiltonian is not an explicit function of time, the wave function is separable into a product of spatial and temporal parts [5].
(127)
T is the period and Kepler's third law is defined by
(128)
E is the total Energy in a gravitational system defined by
(129)
From equation (114)
(130)
and
(131)
ωm is the mean motion angular speed defined by


equations (132) and (133) define Kepler's third law and
(134)
Mean motion angular speed ωm for our planets:
ωm1 = 0.0000008266683161721671725893680342060 – Mercury
ωm2 = 0.0000003236397806290027502923891805337 – Venus
ωm3 = 0.0000001990958336720942466833404885350 – Earth
ωm4 = 0.0000001058577386399185014918267545470 – Mars
ωm5 = 0.00000004324349662 – Ceres
ωm6 = 0.000000017320508 – Jupiter
ωm7 = 0.0000000067118273148381163645269302 – Saturn
ωm8 = 0.0000000023610970045003705167333373453 – Uranus
ωm9 = 0.0000000012054073971413942728010767548 – Netpune (135)
ωm1 / ωmn ratios:
ωm1 / ωm2 = 2.554285244432914670779337281410185998342
ωm1 / ωm3 = 4.152112582796025641132599537390429110737
ωm1 / ωm4 = 7.809238387229576415481006972503699305849
ωm1 / ωm5 = 19.116592800912295250683362390087871668505
ωm1 / ωm6 = 47.727717695818573715584325483178668893545
ωm1 / ωm7 = 123.165909579440024344314522761661650849029
ωm1 / ωm8 = 350.120437490071555045503244031248304319200979
ωm1 / ωm9 = 685.79993629755284246820561633365273445660675
ωm1 / ωm10 = 1021.5530676373953341760499255797110784478856049 (136)
Mean motion angular speed ωm for planets in Proxima Centauri:
ωm1 = 0.000014087146623784 – Proxima – d
ωm2 = 0.000006513393892588 – Proxima – b
ωm3 = 0.0000000398204257868 – Proxima – c (137)
ratios:
ωm1 / ωm2 = 2.162796670383261930601
ωm1 / ωm3 = 353.76685069132842946962 (138)
Comparing equations (121) and (123) we see a gap for 5 planets from 
An electron is orbiting a nucleus with Z protons, we know the energy levels from the solution of the Schrödinger equation [4], where mp is the proton mass, me is the electron mass, μ is the 2 -body reduced mass, e is the electron charge, r is the position of the electron relative to the nucleus, the potential term is due to the Coulomb interaction wherein ∈o is the permittivity of free space and mN is the mass of the nucleus.


with
, now adding the gravitational potential
(145)
And from equation (144)


From equation (152)
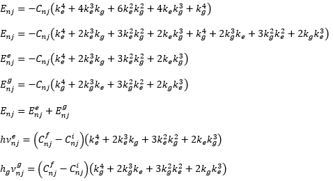
is the frequency of the gravitomagnetic photon emitted from the initial energy level to the final energy level. This emission leads us to the gravitomagnetic tensor. Gravitational magnetic field generates the extra force needed to explain the anomalous behavior of pendulums observed during a solar eclipse, the Allais effect [7] and also explains the dark matter effect without exotic particles never detected. Gravitational magnetic field is also derived from Special Relativity force transformations [8], when velocities point to the same direction a repulsive gravitational magnetic force is induced. Gravitomagnetic tensor will appear below in equation (180) at level two of the generalized Dirac equation D2
From equation (151)
is the frequency of the electromagnetic photon emitted from the initial energy level to the final energy level. The correction of the second term is an indirect detection of the gravitomagnetic photon emission


In equation (154) we have the energy levels from the solution of the Dirac's equation [6]. The first term is the solution of the Schrödinger equation that we have seen above in equation (129) and the second term is the relativistic correction.




From equation (165)
is the relativistic correction of the electromagnetic photon emitted from the initial energy level to the final energy level and from equation (166)
is the relativistic correction of the gravitomagnetic photon emitted from the initial energy level to the final energy level.
We are using Pauli matrices σ, electromagnetic four-potential Aμ and charge e with 
(167)
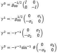
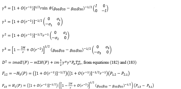
In four dimensions, Minkowski's metric
leads to the Clifford algebra
, Dirac matrices 
(168)
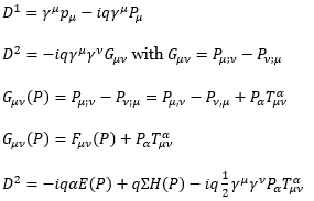
Multilevel operator Dn acts on level n,n is the number of ϒ matrices in the product of the algebra members, for example, D3 acts on ϒ10,ϒ11,ϒ12, and ϒ13. Total multilevel operator Dmul = Do+D1+D2+D3+D4, the action of Dmul on the spinor function vanishes
(169)


Multilevel operator
can be generalized for a curved space with four-potential P , field charge q and covariant derivative[10] (;μ) instead of derivative ( , μ) in the definition of Pμ




For gravity
is the new gravitomagnetic tensor.
is the torsion tensor [11]


Gravitomagnetic tensor defined in Schwarzschild's metric
We are using
, this metric is defined by [13]




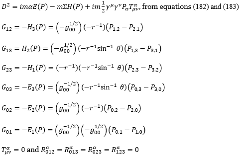
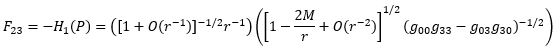
, from equations (182) and (183)


Energy-momentum form is a 1 -form [14]


Comparing equations (207-209) and (216-2118) we can infer
(219)
Do is related to the scalar 0 -form m, D1 is related to the Energy-momentum 1-form, D2 is related to the Electromagnetic 2-form, D3 is related to *J3-form [15]
(220)
D4 is related to L4-form [16]


We are using
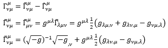
is the black hole's mass and a is the angular momentum per unit mass with G = C = 1. The invariance of the length of vectors under parallel transport means that the connection is compatible with the metric, it is a metric connection, the requirement of the preservation of the length by parallel transport may be stated as [17].


Solving these equations we get the torsion applying its definition [18]
(229)
Expanding the line element in powers of r-1 and examining the leading terms [19].

(230)
Rearranging the line elements

(231)






Generalizing Clifford algebra with
(245)



(253)

(254)

(255)

(256)
(257)
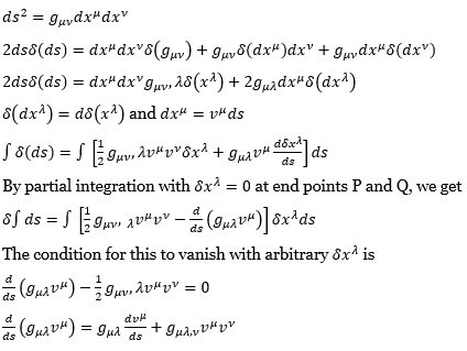
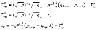
Geodesic equation and torsion tensor
A geodesic that is not a null geodesic has the property that ∫ds, taken along a section of the track with the end points P and Q, is stationary if one makes a small variation of the track keeping the end points fixed. If dx µ denotes an element along the track [20]




From equation (274) where
are the symbols of the symmetric part


Equation (278) becomes


The vector A µ has the covariant divergence


If the left-hand side of equation (285) equals zero then the right-hand side gives us the first conservation law.
For the antisymmetric tensor 


If the left-hand side of equation (288) equals zero then the right-hand side gives us the second conservation law.
For the antisymmetric tensor 


Adding equations (290), (291) and (292)
(293)
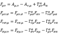
From the definition of the curvature tensor 
(294)
is called the Ricci tensor
(295)
Now
is not symmetric,
is the antisymmetric part and
where
is the symmetric part in the Einstein's equation [21].
(296)
(267)


Multilevel operator
has been generalized for a curved space with a general four-potential P. For gravity
is the new gravitomagnetic tensor and torsion tensor
appears in its definition
In a flat space
and D4 operators vanish. In a curved space the curvature tensor
appears in levels 3 and 4
The appearance of torsion tensor
and curvature tensor
in multilevel operator
means that this operator is a fundamental operator in Quantum Field Theory
, have been calculated for Schwarzschild's metric, then
, the gravitomagnetic tensor has been obtained
Each Dn, where n is the number of Υ matrices in the product of the algebra members, is related to an n-form
The invariance of the length of vectors under parallel transport requires the vanishing of the metric tensor covariant derivative, a new term appears
measuring the non symmetric part of the metric tensor, solving these equations we get the torsion tensor
Rearranging Kerr's metric we obtained
, the non symmetric part of the metric tensor, gravitomagnetic tensor has also been calculated generalizing the Clifford algebra
Taking into account the
in the geodesic equation we have obtained the torsion tensor, conservation laws and Einstein field equation in a non-symmetric geometry
The solution of Schrödinger's equation leads us to the emission of gravitomagnetic photons when the gravitational potential is also taken into account. The correction of the second term in electromagnetic photon frequency is an indirect detection of the gravitomagnetic photon emission.
The solution of Schrödinger's equation for a gravitational system leads us to Planck's gravitational constant value and Kepler's third law.
New broken symmetries lead us to gravity and nuclear force unification and new short distance forces, new Higgs bosons, intermediate vector bosons and photons appear. Planck's constant is a parameter that must be calculated for different systems.
In rainbow unification we have electromagnetic, gravitomagnetic and colormagnetic forces with infinite and short distance interactions. The new Higgs bosons identification confirms this unification, the existence of colormagnetic and gravitomagnetic photons and the final version of the Standard Model.
- Marian Fecko (2006) Differential Geometry and Lie Groups for Physicists. Cambridge University Press 637.
- D.H. Sattinger., O.L.Weaver (1986) Lie Groups and Algebras with Applications to Physics Geometry and Mechanics. Springer-Verlag New York Inc 169.
- Kurt Gottfried., Victor F. Weisskopf (1984) Concepts of Particle Physics. Volume I Oxford University Press 81.
- Robert Eisberg., Robert Resnick (1979) Fisica Cuantica. Atomos, moleculas, solidos, nucleos y particulas. Editorial Limusa 286.
- Robert Eisberg, Robert Resnick (1979) Fisica Cuantica. Atomos, moleculas, solidos, nucleos y particulas. Editorial Limusa 281.
- Robert Eisberg., Robert Resnick (1979) Fisica Cuantica. Atomos, moleculas, solidos, nucleos y particulas. Editorial Limusa 337.
- Delso J (2022) On Allais effect explained by the Gravitomagnetic tensor. OSP Journal of Physics and Astronomy 3.
- Delso J (2021) On Gravitational Magnetic Field Derived from Special Relativity Leading to Dark Matter Force. OSP J Phy Astronomy 2.
- Marian Fecko (2006) Differential Geometry and Lie Groups for Physicists. Cambridge University Press 650-652
- Marian Fecko (2006) Differential Geometry and Lie Groups for Physicists. Cambridge University Press 380.
- Marian Fecko (2006) Differential Geometry and Lie Groups for Physicists. Cambridge University Press 384.
- Marian Fecko (2006) Differential Geometry and Lie Groups for Physicists. Cambridge University Press 404.
- P.A.M. Dirac (1996) General Theory of Relativity. Princeton University Press 30-32.
- J.A. Wheeler., C. Misner., K.S. Thorne (2017) Gravitation. Princeton University 91.
- Roger Penrose (2006) El camino a la realidad" Random House Mondadori. Barcelona 603.
- J.A. Wheeler., C. Misner., K.S. Thorne (2017) Gravitation. Princeton University 119
- Marian Fecko (2006) Differential Geometry and Lie Groups for Physicists. Cambridge University Press 383.
- Marian Fecko (2006) Differential Geometry and Lie Groups for Physicists. Cambridge University Press 389.
- J.A. Wheeler., C. Misner., K.S. Thorne (2017) Gravitation. Princeton University 891.
- P.A.M. Dirac (1996) General Theory of Relativity. Princeton University Press 16-17.
- J.A. Wheeler., C. Misner., K.S. Thorne (2017) Gravitation. Princeton University Press 406.