Published studies have stated that the mass ratio of ordinary substances such as atoms, dark matter and dark energy are approximately five percent, twenty seven percent and sixty eight percent, respectively. However, it has not been successfully realized until today to detect and thus to prove the existence of dark matter and dark energy. There should be some fundamental problems to be addressed and the universal space-time itself must have its own hidden characteristics. It estimates here the universal space-time by using the special theory of relativity i.e., the combined velocity, the increasing mass, the duration time and the quantum chemical reaction rate. The results suggest that each of “the ternary space-times” has its own specific light velocity and that the cosmic age of dark matter uncaptured can be about 100 million years in our age of the universe 13.8 billion years.
Dark Matter; Dark Energy; Ternary Space-Times; Cosmic Age; Uncaptured Darks; Universe Energy
The ESA (European Space Agency)’s Planck space telescope revealed in 2013 that the total mass-energy of the universe had a composition of 68.3% dark energy, 26.8% dark matter and 4.9% normal matter that makes up stars and galaxies (baryons) [1].
Baryons are ordinary substances such as atoms and elementary particles that exist in the real world.
Dark matter is the substance with the mass and influences gravitation. The existence of dark matter is perceived in terms of the rotation curve of a disk galaxy [2, 3], visible light observations of strong effects by gravitational lens and X-ray observations of bullet clusters. There have been previous attempts to prove the existence of dark matter by using the thesis of unknown elementary particles, modified Newtonian dynamics and other methods.
The existence of dark energy is more mysterious than that of dark matter. Baryons and dark matter pull against each other in accordance with the law of universal gravitation. In contrast, dark energy has a repulsive force, i.e., it affects negative pressure and thus accelerates the expansion of the universe. The phenomena regarding the accelerated expansion of the universe are based on results that were obtained from the astronomical observations of the Hubble telescope [4]. Some scientists have associated these phenomena with the cosmological constant of Einstein’s general theory of relativity rather than with dark energy.
However, addressing the unresolved issues of dark matter and dark energy remains a priority for many astronomical projects.
In this work, it applies the special theory of relativity to three different space-times in which each of these systems has its own light velocity. It calculates and estimates baryons, dark matter and dark energy by using the quantum chemical reaction rate and three formulae of the special theory of relativity for the combined velocity, the increasing mass and the duration time. The results suggest that each of “the ternary space-times” has its own specific light velocity and was created in the inflationary epoch during the very early universe and that the cosmic age of dark matter uncaptured can be about 100 million years in our age of the universe 13.8 billion years. The cosmic age about 100 million years locates in the dark age of universe without any lights.
2. Methods
2.1. The combined velocity and the increasing mass
First, consider applying the special theory of relativity to three different space-times. A model of the space- times is shown in Fig.1.
Figure 1: A model of the space-times and the symbols
P1 , P2 and P3 are the rest frames of the System 1, 2 and 3, respectively. The System 1 space-time moves at the light velocity c1 in the System 2 space-time, which is the same as the superstring theory. c2 and c3 are the same in the System 2 and the System 3 space-times.
Galaxy A is the Milky Way galaxy for example, while galaxy D is a virtual galaxy, the aggregate of all the galaxies in the universe.
Here, c1 is the light velocity, wA1 is the movement speed of galaxy A and wD1 is the movement speed of galaxy D in the rest frame P1 in the System 1 space-time, respectively. c2 , WA2 , WD2 and c3 , WA3 , WD3 are the corresponding parameters for the System 2 and the System 3 space-times, respectively.
Formulae for the combined velocities of wA2, wD2, wA3 and wD3 for galaxies A and D in the rest frames P2 and P3 are provided as shown below, since the combined velocity law is completed in the accelerated motion.

The relative speed wAD1 between wD1 and wA1 is presented as shown below when (wD1) and (− wA1) are substituted into the combined velocity. The corresponding relative speeds are also shown for the System 2 and the System 3 space-times.

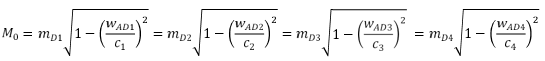
The rest mass M0 is common to all three systems and can be described by using the mass of motion mD2 at the relative speed wAD2 between wD2 and wAD2 in the System 2 space-time. Corresponding descriptions are also provided for both the System 1 and the System 3 space-times.

Substitute wAD1 , wAD2 and wAD3 into the equations.

It then becomes necessary to solve c2/c1 and c3/c1, where wA1= α∙c1 and wD1=β∙c1.

Also,

where δ1 = ±1, δ2 = ±1, δ3 = ±1, and δ4 = ±1
Here, it inserts
Mass ratio
Next, It introduces the new variables ε1, ε2 and ε3 in the forms of mD1 = mε1, mD2 = m(ε1+ε2) and mD3 = m(ε1+ε2+ε3) rather than the variables mD1, mD2 and mD3. The mass densities of dark energy, dark matter and baryons are given based on the mass ratio of the galaxy D motion when it is observed at the Milky Way galaxy A. Therefore, the corresponding mass densities are ε1, ε2 and ε3 respectively.
There are 24×3!=96 possible combinations for the ratios c2/c1 and c3/c1. The adoption conditions to determine the appropriate solution are described as follows.
- The space-time in which dark energy first appears as a result of the system transition has a light velocity with the opposite sign to that of the other two velocities.
- The light velocity is faster than any other movement speed of galaxy in any space-time.
then, 
It applies two conditions of the light velocities to 96 combinations. Then six appropriate solutions remain as shown in Table1 according to the combinations of ε1, ε2 and ε3.
- Furthermore, it applies the principle of energy minimum in the rest mass-energy E to the System 1, 2 and 3 space-times.
Baryons, dark energy and dark matter appear all together in the System 3 space-time which has the light velocity c3 (300,000 km/s= c0) in our real world. This is a boundary condition.
The rest mass-energy E1 in the System 1 space-time is as follows.

The rest mass-energy E2 in the System 2 space-time is as follows.

The rest mass-energy E3 in the System 3 space-time is as follows.

The calculated rest mass-energy in the System 1,2 and 3 space-times for 6 appropriate solutions is shown in Table 2 to adopt the minimum rest mass-energy.
The most appropriate solution of the minimum rest mass-energy is shown in Table 3 to compare the light velocity ratio in the real world (i.e., the System 3 space-time) with that in the System 1 and 2 space- times.



Results
Next, the trial calculations are performed and the results are discussed below.
Since the absolute value of the galaxy movement speed is unknown, it calculates the light velocities in both the System 2 space-time and the System 3 space-time by changing the galaxy movement speed α, β from −0.999 to +0.999 times faster than the light velocity in the System 1 space-time.
There are three requirements as to the physical condition: 1. The light velocity related to the negative pressure based on dark energy is negative, 2. The light velocity is faster than the speed of galaxy, and 3. The rest mass-energy is minimum. In that case, only one combination from 96 possible combinations is left as the most appropriate solution. That is,

The results of the trial calculations are given in Table 1 and Table 2 with 96 solution samples
The System 2 space-time has the negative light velocity; in contrast, the System 1 space-time and the System 3 space-time both have the positive light velocities.
The light velocity in the System 1 space-time has the highest value and the absolute light velocity in the System 2 space-time is greater than that in the System 3 space-time.
As a result, are arranged as follows.

By changing the speed of galaxy movement α and β from −0.9 to +0.9 times faster than the light velocity c1 as some examples, c2/c1 changes from -0.9 to -0.1 times and c3/c1 changes from 0 to 0.9 times i.e.,.

Denying the Presence of the System 4 Space-Time
Since the System 1, 2 and 3 space-times exist, it is highly likely that the System 4 space-time also similarly exists. This calls for investigating the possibility of the System 4 space-time existence.
It applies the formula of “the combined velocity and the increasing mass” to the System 4 space-time.

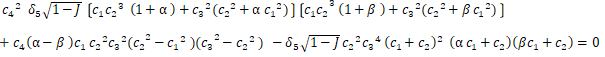
The relative speed wAD4 between wA4 and wD4 is presented as shown below when (wD4) and (−wA4) are substituted into the combined velocity.

The rest mass M0 is common to all four systems and can be described by using the mass of motion mD4 at the relative speed wAD4.

It substitute wAD1 , wAD2 , wAD3 and wAD4 into the equations.
It then becomes necessary to solve the quadratic equation of c4, where 𝑤𝐴1 = α∙𝑐1 𝑤𝐷1 = 𝛽∙𝑐1 and 
There are four solutions of c4, which are 

It varies α and β from −0.9 to +0.9 respectively as numerical analyses and sets each parameter in the System 4 space-time as follows: baryons ε1 =0.049, dark energy ε2= 0.683, dark matter ε3=0.268 and the unknown energy ε4 from 0 to 0.1. The light velocities c1, c2 and c3 are adopted according to “Results”. The results of numerical analyses show that the sign of c4/c1 of any δ5 and δ6 transits to ± when α and β vary from −0.9 to +0.9. A trial calculation example is shown in table 4.
This indicates that the characteristics of the System 4 space-time are uncertain and as a result, the System 4 space-time itself and the fourary space-times do not exist.
2. The Cosmic Age of Dark Matter
The Duration Time
By the special theory of relativity, when the physical phenomena are observed during time Δt' in the rest coordinate, they are observed during time
in the moving coordinate. Therefore, it is possible to express as follow at each of the System 1, 2 and 3 space-times of the ternary space-times.

The observation durations of the physical phenomena are common to each of the rest coordinates.

Upper equations Δt0 are the same that the rest mass equations shown below.

So that, it is

in the moving coordinate, because it is
The moving duration time Δt1 of the physical phenomena is the shortest in the System 1 space-time. It means that the physical phenomena have finished and the next step proceeds in the System 1 space- time, while the physical phenomena are being observed in the System 3 space-time. That is, the evolution speed in the System 1 space-time is the fastest in the three Systems.
Henceforth, the moving duration time of the physical phenomena is shortly called the duration time.
The Net Duration Time
There is Plank time as the minimum time-unit. The duration time Δt1 , Δt2 and Δt3 are divided finely by
Plank time and they are considered to be integrated each Plank time.
Δt1= Δt11 Δt2= Δt21 + Δt22 Δt3= Δt31 + Δt32+ Δt33
Δt11: The net duration time of baryons in the System 1 space-time
Δt21, Δt22: The net duration times of baryons and dark energy in the System 2 space-time
Δt31, Δt32, Δt33 : The net duration times of baryons, dark energy and dark matter in the System 3 space-time
In the System 2 space-time, the duration time of baryons and dark energy is Δt2 because they appear together. Likewise, in the System 3 space-time, the duration time of baryons, dark energy and dark matter is Δt3 because they appear all together.
The net duration time of baryons is common in the System 1,2 and 3 space-times, Δt11= Δt21= Δt31 The net duration time of dark energy is common in the System 2 and 3 space-times, Δt22= Δt32 The net duration time of dark matter in the System 3 space-time is Δt33
Consequently, Δt1= Δt11 Δt2= Δt11 + Δt22 Δt3= Δt11 + Δt22+ Δt33
Because their relations equal to that of the mass of motion, it follows
Δt11 = ε1T Δt22 = ε2T Δt33 = ε3T
Δt1 = ε1T Δt2 = (ε1 + ε2)T Δt3 = (ε1 + ε2 + ε3) T
The net change rate of the physical phenomena is in inverse proportion to the net duration time and the net change length is in proportion to the net change rate. So that, in the System 3 space-time.
The net change length of dark matter / the net change length of baryons
= the net duration time of baryons Δt31/ the net duration time of dark matter Δt33 = ε1 / ε3
The Reaction Rate of the Physical Phenomena
Evolution process of dark matter is much more unclear than that of baryons. Here, chemical reaction engineering is introduced. Quantum chemical reaction rate is in proportion to density (mass / space volume). So that, the relations between baryons and dark matter in the System 3 space-time are as follow.

2.The Cosmic Age of Dark Matter
The net evolution length (cosmic age) of dark matter is with relation to the net duration time of Plank time and the reaction rate of the physical phenomena.

When the net evolution length of baryons is 13.8 billion years cosmic age in the System 3 space-time, the cosmic age of dark matter can be about 100 million year〔0.08billion=13.8× (0.049/0.268)3〕. The cosmic age about 100 million years locates in the dark ages of universe (cosmic age from 0.37 million to about 400 million years) without any lights i.e., electromagnetic waves but with gravitation. (Fig 2) [5].
Evolution process of dark energy is most difficult of three Systems. Nevertheless, boldly speaking, the cosmic age of dark energy can be about 0.5 million years〔13.8×(ε1/ ε2 )3〕. But gravity except both electro- magnetic force and photon radiated from dark energy can be felt in the System 3 space-time, because the light velocity c2 is negative in the System 2 space-time where dark energy occurred.

Figure 2: Big Bang & Expansion of universe CMB Timeline300 no WMAP.jpg. Courtesy of NASA
Discussion
In summary, it estimates the ternary space-times by using the formulae for both combined velocities and the increasing mass which are completed in the accelerated motion from the special theory of relativity.
Dark matter is a product in the System 3 space-time, and the System 3 is the present “real world” with a positive light velocity c3 (300,000 km/s). So that, dark matter gathers around baryons in the System 3 space-time because of the positive light velocity c3. (Fig.3, Fig.4)
Dark energy is a product in the System 2 space-time, and the System 2 is the “illusive world” with a negative light velocity c2 that is ten times faster
than that in the real world. The System 2 also has negative pressure since this is a negative light velocity world, i.e., it represents the expansion of the universe itself. So that, dark energy disperses in the System 2 because of the negative light velocity c2.
Baryons is a product in the System 1 space-time and the System 1 is the “core world” with a positive light velocity c1 that is hundred times faster
than that in the real world. So that, baryons gather each other because of the positive light velocity c1.
Dark matter and dark energy are the magics of the ternary space-times and generated from baryons of the core world. It is impossible to directly capture substances proper i.e., elementary particles of dark matter in the System 3 space-time, because this real world is separated from the System 1 where the core world exists due to the energy gaps of space-time light velocity. Substances of dark energy in the System 2 space-time are the same as above. So that, baryons never collide with dark matter.

Figure 3: Image of the ternary space-times


It is difficult to apply the theory of relativity to the very early universe era when the sudden expansion of the universe occurred. However, it is possible to apply the theory of relativity to the era of after early universe.
When the universe transited from the System 1 space-time to the System 2 space-time in inflationary epoch of the very early universe, the mass of motion ε2m increased in accordance with the equation E2 m(ε1 + ε2)
as an enlarged copy of inflatons ε1m. Inflatons composed of elementary particles in the System 1 space-time collapsed into standard model particles (electron, photon, neutrino, proton, neutron, etc.) with the lapse of time. On the other hand, inflatons i.e. elementary particles which occurred in the System 2 and the System 3 space-times developed on their own over time.

Photon, graviton, light-velocity elementary particles which move at light velocity, penetrate the
space-time energy gaps.
Baryons lapse cosmic age 13.8 billion years from the big ban. The cosmic age of dark energy can be about 5 million years and the cosmic age of dark matter can be about 100 million years, if the processes of evolution in the System 1 ,2 and 3 space-times are similar because dark energy and dark matter are enlarged copies of baryons. These cosmic ages of dark energy and dark matter locate in the dark ages (from cosmic age 0.37 million to about 0.4 billion years) of universe without any light by the chronology of the universe.
The movement speeds of baryons and dark energy are equal since the speed is common to baryons and dark energy in the System 2 space-time. The same can be said to the System 3 space-time. As a result, it can be concluded that dark matter (halo) is located around baryons (galaxy) (Fig. 5).
Even if baryons assemblies with extensive innocent spaces collide each other like Bullet Galaxy (Fig. 6), baryons proper don’t clash but pass through the collision space, meanwhile dark matter and dark energy belonging to baryons also don’t clash. Each of some baryons or dark matter assemblies might happen to clash and be left behind incidentally, meanwhile others of baryons or dark matter pass through. Those results separate dark matter from baryons.
The ternary space-times universe was created in the inflationary epoch during the very early universe. Dark energy was made in the earlier inflationary epoch and dark matter was made in the big bang.
There must be two cosmic background radiations which result from transition to the System 2 and to the System 3 space-time, but the cosmic background radiation in the System 2 space-time is not sensitive in the System 3 space-time because of its negative light velocity.

Figure 5: Image of dark matter and the galaxy [6].
White spots are galaxies and clear jellies are dark matters. Courtesy of NASA, ESA, R. Massey

Figure 6: Bullet Galaxy [7]. Two blue areas are dark matters.
Courtesy of NASA, CXC, CfA
Declarations
Acknowledgements
Funding: This research did not receive any specific grant from funding agencies in the public, commercial,
or not-for-profit sectors.
I thank Dr. Yuko Masaki and Edanz Group (www.edanzediting.com/ac) for editing an early draft of this manuscript.
Author Contributions
F. I. developed the theory and wrote the manuscript.
Competing Interests
The author declares no competing interests including financial and non-financial interests.
- Planck reveals an almost perfect Universe (2013). European Space Agency, Space Science/Planck/Planck reveals an almost perfect Universe.
- Sofue, Y., Rubin, V C (2001) Rotation curves of spiral galaxies. Annu. Rev. Astron. Astrophys 39: 137.
- Battaglia, G (2005) The radial velocity dispersion profile of the galactic halo: Constraining the density profile of the dark halo of the Milky Way. Mon. Notices Royal Astron. Soc., 364-433.
- Hubble, E (1929) A relation between distance and radial velocity among extra-galactic nebulae. Proc. National Academy of Sciences 15: 168-173.
- NASA/WMAP Science Team (2006) National Aeronautics & Space Administration. Big Bang & expansion of universe.
- NASA/ESA/R.Massey (2007) First 3D map of the Universe’s Dark Matter scaffolding.
- NASA/CXC/M (2006) Weiss, Chandra X-Ray Observatory Bullet Galaxy.